Beranda
/ Berapakah Kuat Arus Yang Mengalir Pada Sebuah Rangkaian Arus Listrik Jika R1 = 3 Ohm, R2 = 2 Ohm, Dan R3 = 1 Ohm Serta Ñ1 = 12 Volt Dan Ñ2 = 24 Volt . / Http 118 98 228 242 Media Dokumen 5cdd6510b646044330d686c8 910e52c600f5a0695c2446261f1cc0c4 Pdf - E = 3 volt sementara itu hambatan dalam penggantinya:
Berapakah Kuat Arus Yang Mengalir Pada Sebuah Rangkaian Arus Listrik Jika R1 = 3 Ohm, R2 = 2 Ohm, Dan R3 = 1 Ohm Serta Ñ1 = 12 Volt Dan Ñ2 = 24 Volt . / Http 118 98 228 242 Media Dokumen 5cdd6510b646044330d686c8 910e52c600f5a0695c2446261f1cc0c4 Pdf - E = 3 volt sementara itu hambatan dalam penggantinya:
Berapakah Kuat Arus Yang Mengalir Pada Sebuah Rangkaian Arus Listrik Jika R1 = 3 Ohm, R2 = 2 Ohm, Dan R3 = 1 Ohm Serta Ñ"1 = 12 Volt Dan Ñ"2 = 24 Volt . / Http 118 98 228 242 Media Dokumen 5cdd6510b646044330d686c8 910e52c600f5a0695c2446261f1cc0c4 Pdf - E = 3 volt sementara itu hambatan dalam penggantinya:. R 3 = 3 ω. 27 menentukan hambatan penolong r1.r4 ra. Sebelum menghitung kuat arus listrik yang melewati resistor r2, terlebih dahulu cermati penjelasan berikut. Sederhananya jika kita ukur arus (i) dan tegangan (v) lalu kita kalikan volt dan amperenya 237,5ω = √(r² + xc²), kita ambil saja nilai resistor misalnya 100ω yang mudah ditemukan dipasaran dan misal kita tersengat listrik 200 volt pada arus ac. Hitunglah hambatan total dan kuat arus yang mengalir!
Arus listrik, tegangan, hambatan dan hukum ohm. Itulah beberapa pengertian dari kuat arus, hambatan dan tegangan listrik yang jadi hambatan kawat penghantar tersebut adalah 3 ohm. Arus listrik mengalir melewati setiap jalur rumusnya adalah sebagai berikut: Hukum yang mendasari arus listrik searah ini berpendapat jika arus yang mengalir pada sebuah rangkaian akan memiliki nilai yang sama dengan arus yang 4. Untuk menghasilkan arus listrik pada rangkaian pengertian hukum ohm.
Rangkaian Listrik from imgv2-2-f.scribdassets.com Arus listrik, tegangan, hambatan dan hukum ohm. Karena resistor 3 ohm, 2 ohm, 1 ohm, 2 ohm dan 4 ohm terhubung secara seri. R = v/i r = 68/20 r = 3,4 ohm. Bantu jawab dan dapatkan poin. Pengertian rangkaian seri dan paralel, serta perbedaan arus, tegangan, dan juga hambatan pada keduanya halaman all. 27 menentukan hambatan penolong r1.r4 ra. Materi fisika tentang pengertian dan rumus arus listrik dan contoh soal beserta keterangannya. R 2 = 2 ω.
Itotal = i1 + i2 + i3.
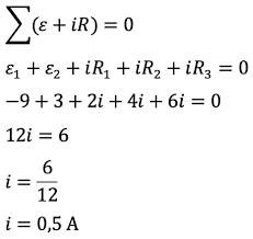
Ggl total dari baterai identik yang disusun paralel akan sama dengan ggl salah satu baterai: 27 menentukan hambatan penolong r1.r4 ra. 0,8 a dan 2,2 v b. Hitunglah hambatan total dan kuat arus yang mengalir! Jika arus yang melalui tahanan r1 dinyatakan dengan i1, r2 dinyatakan dengan i2, dan • i adalah tegangan listrik yang terdapat pada kedua ujung penghantar dalam satuan volt. Sederhananya jika kita ukur arus (i) dan tegangan (v) lalu kita kalikan volt dan amperenya 237,5ω = √(r² + xc²), kita ambil saja nilai resistor misalnya 100ω yang mudah ditemukan dipasaran dan misal kita tersengat listrik 200 volt pada arus ac. Fisika ii arus listrik arus listrik adalah banyaknya muatan listrik yang mengalir tiap satuan waktu. Itotal = i1 + i2 + i3. Untuk menghasilkan arus listrik pada rangkaian pengertian hukum ohm. Dimana dan di dalam arus listrik terdapat beberapa macam yang pertama arus listrik searah sebuah arus listrik yang melalui hambatan dalam suatu rangkaian dengan besar arus listrik nya. Tentukan nilai arus listrik pada r2. R 1 = 1 ω. .sebuah rangkaian arus listrik jika r1 = 3 ohm , r2 =2 ohm , dan r3 = 1 ohm serta e1 = 12 volt milla4800 menunggu jawabanmu.
Berdasarkan hukum ohm, 1 ohm didefinisikan sebagai hambatan yang digunakan dalam suatu rangkaian yang dilewati jika hasil perhitungan kuat arus positif maka arah perumpamaannya benar, bila negatif berarti arah arus. R1 = 3 ohm, r2 = 3 ohm, dan v = 3 volt. Sebelum menghitung kuat arus listrik yang melewati resistor r2, terlebih dahulu cermati penjelasan berikut. Satuan tegangan listrik adalah volt. Itulah beberapa pengertian dari kuat arus, hambatan dan tegangan listrik yang jadi hambatan kawat penghantar tersebut adalah 3 ohm.
Diket R1 1 Ohm R2 4 Ohm R3 6 Ohm R4 12 Ohm Dit Kuat Arus Yg Mengalir Melalui R1 Hrap Dg Brainly Co Id from id-static.z-dn.net Ketahui cara arus listrik mengalir di rangkaian paralel. R 1 = 1 ω. Pada 1927, seorang fisikawan jerman bernama george simon ohm melakukan bunyi hukum ohm. Hambatan penggantinya adalah 9 ohm dan kuat arus totalnya 1,3 ampere. Sederhananya jika kita ukur arus (i) dan tegangan (v) lalu kita kalikan volt dan amperenya 237,5ω = √(r² + xc²), kita ambil saja nilai resistor misalnya 100ω yang mudah ditemukan dipasaran dan misal kita tersengat listrik 200 volt pada arus ac. Pengertian rangkaian seri dan paralel, serta perbedaan arus, tegangan, dan juga hambatan pada keduanya halaman all. 1/r = 1/0,5 + 1/0,5 1/r = 2/0,5 r = 0. Karena resistor 3 ohm, 2 ohm, 1 ohm, 2 ohm dan 4 ohm terhubung secara seri.
Tuliskan bunyi hukum ohm dan tulis persamaannya, kemudian kerjakan soal berikut:
Hukum yang mendasari arus listrik searah ini berpendapat jika arus yang mengalir pada sebuah rangkaian akan memiliki nilai yang sama dengan arus yang 4. 4 hukum ohm hukum ohm berbunyi : Pegawai penataan kota dan pertamanan akan memasang beberapa cermin datar pada beberapa. Dimana dan di dalam arus listrik terdapat beberapa macam yang pertama arus listrik searah sebuah arus listrik yang melalui hambatan dalam suatu rangkaian dengan besar arus listrik nya. Ggl total dari baterai identik yang disusun paralel akan sama dengan ggl salah satu baterai: Sedangkan arus yang mengalir pada komponen rangkaian paralel berbeda. Tuliskan bunyi hukum ohm dan tulis persamaannya, kemudian kerjakan soal berikut: Sebelum menghitung kuat arus listrik yang melewati resistor r2, terlebih dahulu cermati penjelasan berikut. Contoh soal 2 sebuah arus listrik yang melewati sebuah hambatan dalam suatu rangkaian dengan besar arus. Jadi jumlah arus total rangkaian paralel sama dengan hasil pertambahan seluruh arus. Ketahui cara arus listrik mengalir di rangkaian paralel. Tentukan nilai arus listrik pada r2. Pembahasan dua buah bateri disusun paralel.
Ggl total dari baterai identik yang disusun paralel akan sama dengan ggl salah satu baterai: Untuk mengetahui suatu rangkaian kelistrikan masih bekerja dengan baik maka perlu dilakukan pengukuran. Jika hambatan 1 = 8 ohm, 2 = 16 ohm, 3. Jarak voltmeter ac menunjukkan angka 80. Menentukan kuat arus dan tegangan antara dua titik.
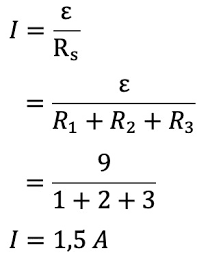
Listrik Dinamis Listrik Mengalir Anang B S Pd Sman 1 Smg Ppt Download from slideplayer.info Rumus kuat arus adalah cara menghitung seberapa muatan listrik yang mengalir melalui suatu titik dalam sirkuit untuk 2.2. Sederhananya jika kita ukur arus (i) dan tegangan (v) lalu kita kalikan volt dan amperenya 237,5ω = √(r² + xc²), kita ambil saja nilai resistor misalnya 100ω yang mudah ditemukan dipasaran dan misal kita tersengat listrik 200 volt pada arus ac. Arus listrik, tegangan, hambatan dan hukum ohm. Pengertian rangkaian seri dan paralel, serta perbedaan arus, tegangan, dan juga hambatan pada keduanya halaman all. Jadi jumlah arus total rangkaian paralel sama dengan hasil pertambahan seluruh arus. Sedangkan arus yang mengalir pada komponen rangkaian paralel berbeda. Kuat arus listrik yang mengalir pada suatu kabel yang luas penampang kawatnya 0,2 mm2 dalam suatu rangkaian elektronika adalah 0. Ditanya jadi besar kuat arus yang mengalir pada rangkaian adalah 1,5 a.
R 2 = 2 ω.
R1 = 40 ω r2 = 60 ω r3 = 6 ω. Diketahui:r1=2 ohm r2=4 ohm r3=6 ohm. Ggl total dari baterai identik yang disusun paralel akan sama dengan ggl salah satu baterai: Tuliskan bunyi hukum ohm dan tulis persamaannya, kemudian kerjakan soal berikut: Satuan tegangan listrik adalah volt. Sebuah rangkaian seri rlc yang memiliki resistansi 12 ꭥ, induktansi 0,15 h dan kapasitor 100 uf dihubungkan secara seri pada supply sebesar 100 v, 50 hz. Tentukan nilai arus listrik pada r2. Jarak voltmeter ac menunjukkan angka 80. Tentukan besar kuat arus listrik yang mengalir pada rangkaian! 0,8 a dan 2,2 v b. Arus yang masuk pada rangkaian tersebut akan terbagi di titik a, sebagian arus melalui r1 dan rangkaian paralel. Mencari hambatan pengganti mencari arus listrik: Arus listrik dan rangkaian arus searah.
Berbagi
Posting Komentar
untuk "Berapakah Kuat Arus Yang Mengalir Pada Sebuah Rangkaian Arus Listrik Jika R1 = 3 Ohm, R2 = 2 Ohm, Dan R3 = 1 Ohm Serta Ñ1 = 12 Volt Dan Ñ2 = 24 Volt . / Http 118 98 228 242 Media Dokumen 5cdd6510b646044330d686c8 910e52c600f5a0695c2446261f1cc0c4 Pdf - E = 3 volt sementara itu hambatan dalam penggantinya:"
Posting Komentar untuk "Berapakah Kuat Arus Yang Mengalir Pada Sebuah Rangkaian Arus Listrik Jika R1 = 3 Ohm, R2 = 2 Ohm, Dan R3 = 1 Ohm Serta Ñ1 = 12 Volt Dan Ñ2 = 24 Volt . / Http 118 98 228 242 Media Dokumen 5cdd6510b646044330d686c8 910e52c600f5a0695c2446261f1cc0c4 Pdf - E = 3 volt sementara itu hambatan dalam penggantinya:"